differential equations of the form
(1) y(n) + p1(x)y(n - 1) + ... + pn(x)y = f(x)
where y = y(x) is an unknown function; y(n), y(n - 1), . . ., y are its derivatives; and p1(x), p2(x), . . ., pn (x) (the coefficients) and/(x) (the free term) are given functions. Equation (1) is said to be linear because the unknown function y and its derivatives enter (1) linearly, that is, the degree of y and its derivatives in (1) is one. If f(x) ≡ 0, then equation (1) is said to be homogeneous; otherwise it is inhomogeneous. The general solution y0 = y0(x) of a homogeneous linear differential equation with continuous coefficients pk(x) can be written as
y0 = C1y1(x) + C2y2(x) + ... + Cnyn(x)
where C1, C2, . . ., Cn are arbitrary constants and y1(x), y2(x), . . ., yn(x) are linearly independent particular solutions. Such n solutions are said to form a fundamental system of solutions. An important result states that n particular solutions are linearly independent if and only if their Wronskian

is different from zero at at least one point.
The general solution y = y(x) of the inhomogeneous linear differential equation (1) has the form
y = y0 + Y
where y0 = y0(x) is the general solution of the corresponding homogeneous linear differential equation and Y = Y(x) is a particular solution of the given inhomogeneous linear differential equation. The function Y(x) can be found from the formula

where the yk(x) form a fundamental system of solutions of the homogeneous linear differential equation and Wk(x) is the cofactor of the element yk(n - 1)(x) in the Wronskian w(x) given above in (2).
If the coefficients of equation (1) are constant, that is, pk(x) = ak for k = 1, 2, . . ., n, then the general solution of the homogeneous equation is given by

Here,
) are the roots of the so-called characteristic equation
λn + a1 λn - 1 + ... + an = 0
and the nk are the multiplicities of these roots and Cks and Dks are arbitrary constants.
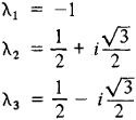
Example. For the linear differential equation y″′ + y = 0, the characteristic equation has the form λ3 + 1 = 0. Its roots are

Consequently, the general solution of this equation is
![]()
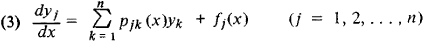
Consider a system of n linear differential equations
![]()
The general solution of the homogeneous system of linear differential equations [obtained from (3) by putting all fj(x) ≡ 0] is given by
![]()
where yj1, yj 2, . . ., yjn are linearly independent particular solutions of the homogeneous system (that is, solutions such that the determinant ǀyjk (x)ǀ≠ 0 at at least one point).
In the case of constant coefficients pjk(x) = ajk, particular solutions of the homogeneous system are of the form

where the Ajs are undetermined coefficients and the λk are the roots of the characteristic equation

with multipliers mk. Here, a complete analysis of all possible cases can be effected by means of the theory of elementary divisors.
The methods of operational calculus are also used to solve linear differential equations and systems of linear differential equations with constant coefficients.