Center of Parallel Forces
The following article is from The Great Soviet Encyclopedia (1979). It might be outdated or ideologically biased.
Center of Parallel Forces
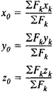
the point through which the line of action of the resultant of a set of parallel forces Fk passes for any rotation of the forces about their points of application in the same direction and by the same angle. The coordinates of the center of parallel forces are

where xk, yk, and zk are the coordinates of the points of application of the forces. The concept of the center of parallel forces is made use of in finding the coordinates of the centers of gravity of bodies.
The Great Soviet Encyclopedia, 3rd Edition (1970-1979). © 2010 The Gale Group, Inc. All rights reserved.
Copyright © 2003-2025 Farlex, Inc
Disclaimer
All content on this website, including dictionary, thesaurus, literature, geography, and other reference data is for informational purposes only. This information should not be considered complete, up to date, and is not intended to be used in place of a visit, consultation, or advice of a legal, medical, or any other professional.