a nonlinear automatic control system consisting of a set of continuously operating subsystems with a specific rule governing the switching from one structure of a given set to another. The control apparatus in such a system contains switching devices that interrupt or restore connections between functional elements of the system, thus altering the transmission channels for signals and providing for the switching from one structure of the system to another (Figure 1). This design principle substantially broadens the control capabilities by taking advantage of the useful properties of each structure and makes it possible to achieve new properties not inherent in any single existing structure.

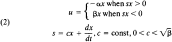
The characteristics of a variable-structure control system can be illustrated by a very simple automatic control system for which the behavior is described by the differential equation
![]()
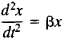
where x is the variable being controlled, u is the control action, and t is time. Let us assume that it is possible in this system to realize only positive feedback (u = βx, β = const > 0) and negative feedback (u = – αx, α = const > 0); where α and β are feedback transfer factors. With positive feedback, the behavior of the system is described by the equation
![]()
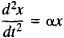
for structure I; with negative feedback, the system’s behavior is described by the equation
![]()
for structure II.
The behavior of the system may be described graphically by phase portraits (Figure 2,a for structure I and Figure 2,b for structure II). The problem is to select a control u from the class of possible controls such that the system has asymptotic stability. It follows from phase plane analysis that neither positive nor negative feedback separately will satisfy this requirement. Therefore, a variable-structure control system will use the following rule for changing structures:

The phase portrait of such a system is shown in Figure 2,c.
It follows from analysis that a representative point moves from an arbitrary initial position to the straight line s = 0, which passes through the origin of the coordinates. The phase trajectories have opposite directions near the origin, so that the representative point cannot leave the straight line. The trajectory s = 0 is not associated with either one of the structures (I or II); therefore, according to rule (2), as a result of switching the control u, the structures of the system are theoretically changed at an infinite rate. Such a mode of motion is known as sliding, and the equation of the straight line s = 0 is assumed to be the equation of motion
![]()
All solutions of equation (3) approach zero as t → ∞, that is, the problem as formulated is solved. In essence, the motion of the system in a sliding mode is independent of the characteristics of the object being controlled and the feedback factor; the nature of the transient process is determined solely by the choice of the parameter c.

The example discussed shows that it is possible to synthesize a variable-structure control system with several favorable properties, including aperiodic stability and parametric invariance, by combining structures that are unacceptable separately and by using sliding modes. Such systems make it possible to solve a wide range of problems in control theory, such as the highly accurate application of an input value with invariance for parametric and external disturbances, multiple-loop regulation, and optimization.
B. Z. GOLEMBO and S. K. KOROVIN