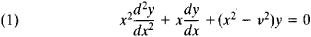
(or cylinder function, Bessel function). Cylindrical functions form a class of transcendental functions that is extremely important from the standpoint of applications in physics and engineering. These transcendental functions are solutions of the differential equation
![]()
where v is an arbitrary parameter. Many problems of elastic, thermal, and electrical equilibrium and of the vibration of bodies of cylindrical shape reduce to this equation.
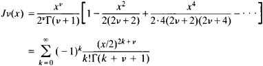
A solution of the form

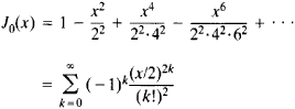
is called a cylindrical function of order v of the first kind. Here, Γ(z) is the gamma function; the series on the right-hand side of the equation converges for all values of x. In particular, the zeroth-order cylindrical function has the form

If v is a negative integer (v = – n), then Jv(x) is defined in the following way:
![]()
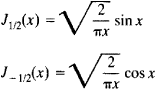
Cylindrical functions of order v = m + 1/2, where m is an integer, reduce to elementary functions—for example,

The functions Jv(x) are often called simply Bessel functions, and equation (1) is known as the Bessel equation. These functions and equation (1), however, were used by L. Euler in a study of the vibrations of a membrane in 1766—that is, nearly 50 years before the work of F. Bessel. The zeroth-order function occurred still earlier in a paper by D. Bernoulli devoted to the oscillation of a heavy chain (published 1738), and the function of order 1/3 is found in a letter from Jakob Bernoulli to G. von Leibnitz (1703).
If v is not an integer, then the general solution of equation (1) has the form
(2) y = C1Jv(x) + C2J –v(x)
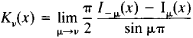
where C1 and C2 are constants. If, however, v is an integer, then Jv(x) and J–v(x) are linearly dependent, and their linear combination (2) is not a general solution of equation (1). For this reason, cylindrical functions of the second kind, or Neumann functions, were introduced:
![]()
With the aid of these functions the general solution of equation (1) may be written in the form
y = C1Jv(x) + C2Jv(x)
for both integral and nonintegral v.
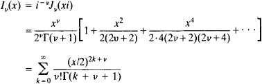
In applications cylindrical functions of an imaginary argument are encountered:

(the modified cylindrical function of the first kind) and
![]()
(the MacDonald function, or modified cylindrical function of the second kind). These functions satisfy the equation
![]()
the general solution of which has the form
y = C1Iv(x) + C2Kv(x
for both integral and nonintegral v.
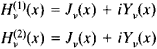
Cylindrical functions of the third kind, or Hankel functions, are frequently used:
![]()
The functions ber (x) and bei (x) are also often encountered. They are defined by the equation
![]()
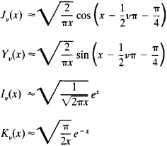
An important role is played by asymptotic expressions of cylindrical functions for large values of the argument:

It follows from these expressions in particular that the cylindrical functions Jv(x) and Yv(x) have an infinite set of real zeros arranged in such a way that far from the origin they are arbitrarily close to the zeros of the functions
![]()
and
![]()
respectively.
Cylindrical functions have been studied in great detail for complex values of the arguments. Many tables of cylindrical functions have been published for use in calculations.