any of various functions associated with the inversion of elliptic integrals. Elliptic functions are used in many branches of mathematics and mechanics in both theoretical studies and numerical calculations.
The inverse of the integral
![]()
is the trigonometric function u = sin x. Similarly, the inversion of normal elliptic integrals of the first kind
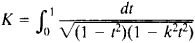
![]()
(where z = sin φ and k is the modulus of the elliptic integral) gives rise to the functions φ = am z and ω = sn z = sin (am z). The function am z, the amplitude of z, is not an elliptic function.

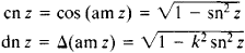
The elliptic sine, sn z, is the sine of the amplitude. The functions en z (the cosine of the amplitude) and dn z (the delta of the amplitude) are given by the formulas
![]()
The functions sn z, en z, and dn z are called Jacobian elliptic functions. The following relation holds:
sn2z + cn2z = k2 sn2z + dn2z = 1
Figure 1 shows the graphs of the Jacobian elliptic functions for real x and 0 < k < 1;
![]()
is the complete normal elliptic integral of the first kind, and 4K is a primitive period of the elliptic function sn z. In contrast to the singly periodic function sin x, the function sn z is a doubly periodic function. Its second primitive period is 2iK′, where
![]()
and
is the complementary modulus. The periods, zeros, and poles of the Jacobian elliptic functions are given in Table 1, where m and n are any integers.
| Table 1. Properties of Jacobian elliptic functions | |||
|---|---|---|---|
| Function | Periods | Zeros | Poles |
| sn z | 4Km + 2iK′n | 2mk + 2iK′n | 2mK + (2n + 1)iK′ |
| cn z | 4K + (2K + 2iK′)n | (2m + 1)K + 2iK′n | 2mK + (2n + 1)ik′ |
| dn z | 2Km + 4iK′n | (2m + 1)K + (2n + 1)iK′ | 2mK + (2n + 1 )iK′ |
The Weierstrassian elliptic function & (x) may be defined as the inverse of Weierstrass’ normal elliptic integral of the first kind, which has the form
![]()
where the parameters g2 and g3 are called the invariants of &(x). Here it is assumed that the zeros e1, e2, and e3 of the polynomial 4t3 – g2t – g3 differ from each other; if they did not differ, integral (*) could be expressed in terms of elementary functions. The relations between & (x) and the Jacobian elliptic functions are given by the following equations:

Any meromorphic doubly periodic function f(z) is an elliptic function. The ratio of the two periods ω1 and ω2 is imaginary. We thus have f(z + mw1, + nw2) = f(z) whenm m, n = 0, ±1, ±2, . . . and 1m (ω1/ω2) ≠ 0. Sigma functions and theta functions are used to construct elliptic functions and to carry out numerical calculations.
The study of elliptic functions was preceded by the investigation of elliptic integrals; a systematic exposition of the theory of such integrals was given by A. Legendre. The founders of the theory of elliptic functions were N. Abel (1827) and K. Jacobi (1829). Jacobi dealt extensively with the theory of the elliptic functions that now bear his name. In 1847, J. Liouville published a discussion of the foundations of the general theory of elliptic functions, considered as meromorphic doubly periodic functions. A representation of elliptic functions in terms of the &-function and the theta and sigma functions was given by K. Weierstrass in the 1840’s (the theta and sigma functions are not elliptic functions).