functions defined by relations between independent variables that have not been explicitly solved for the latter; such relations are one of the methods of defining functions. For example, the relation
x2 + y2 − 1 = 0
defines an implicit function
y = y (x)
and the relations
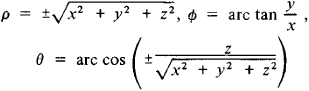
x = ρ cos φ sin φ
x = ρ sin φ sin θ, z = ρ cos θ
define implicit functions
ρ = ρ(x, y, z) φ = φ(x, y, z) θ = θ(x, y, z)
In the simplest cases, the relations defining implicit functions may be solved in terms of elementary functions, that is, elementary functions may be found that satisfy these relations. Thus, in the first example above we have
![]()
and in the second,

However, in general, such elementary functions cannot be found. Implicit functions may be single-valued or many-valued. Not every relation (or system of relations) between variables defines an implicit function. Thus, if the values of the variables are restricted to real numbers, then the relation x2 + y2 + 1 = 0 does not define an implicit function, since the function exy = 0 is not satisfied by a single pair of real or complex numbers ξ and y; the relation e”y = 0 is not satisfied by a single pair of real or complex numbers ξ and y. The existence theorem for implicit functions in its simplest form asserts that if a function F (x, y) vanishes for a pair of values x = x0, and y = y0 [F (x0, y0 ≠ 0] and is differentiable in a neighborhood of the point (x0, y0 and, moreover, F’x(x, y) and F’y(x, y) are continuous in this neighborhood and F’y(x0, y0) ≠ 0, then in a sufficiently small neighborhood of the point x0 there exists a unique single-valued continuous function y = y (x) that satisfies the relation F (x, y) = 0 and takes on the value y0 for x = x0; also, y’(x) = —F’x(x, y)/F’y(x, y).
Power series are often used for the approximate calculation of values of an implicit function near x0, where the function’s value y0 is known. Thus, if F (x, y) is an analytic function—that is, it may be expanded as a convergent double power series in the neighborhood of the point (x0, y0)]—and if F’y(x0, y0) ≠ 0, then the implicit function defined by the relation F (x, y) = 0 may be obtained in the form of a power series
![]()
which is convergent in a certain neighborhood of the point x = x0 The coefficients Ck, k = 1, 2, . . . , may be found either by substituting this series in the relation F (x, y) = 0 or by successively differentiating this relation with respect to x. For example, if the implicit function is given by the relation
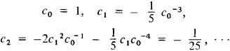
y5 + xy − 1 = 0, x0 = 0, y0 = 1
then
![]()
and

from which

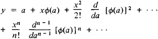
If the relation F (x, y) = 0 may be put in the form y = a + xφ(y), where φ(y) is an analytic function, then the implicit function that is defined by this relation and that assumes the value a at x = 0 can be expanded in a Lagrange series

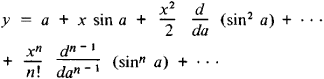
which is convergent in a certain neighborhood of the point x = 0. For example, the relation y = a + x sin y (Kepler’s equation) vields

In the general case, the values of an implicit function may be calculated by the method of successive approximations.