That point of a material body or system of bodies which moves as though the system's total mass existed at the point and all external forces were applied at the point. The Earth-Moon system moves in the Sun's gravitational field as though both masses were located at a center of mass some 3000 mi (4700 km) from the Earth's geometric center. The function of the center-of-mass concept is to permit analysis of the motion of an entire system as distinguished from that of its individual parts.
Consider a system of mass M composed of n bodies with masses m1, m2, …, mn, and radius vectors r1, r2, …, rn measured from some common reference point. Define a point with radius vector R, such that Eq. (1) holds. Then, it is possible to derive Eq. (2),


A simplification of the description of collisions can be obtained by using a coordinate system which moves with the velocity of the center of mass before collision. See Collision (physics), Rigid-body dynamics
Two bodies, moving under the influence of their mutual gravitation, will orbit around their center of mass, which lies on the line between them. The distances, r 1 and r 2, of the bodies from this point depend on their masses, m 1 and m 2, the more massive body lying closer. For circular orbits:
(or center of inertia), a geometric point whose position characterizes the distribution of mass in a body or mechanical system.
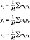
The coordinates of the center of mass are

or, for a body whose mass is continuously distributed over its volume,

Here, the mk are the masses of the material particles that form the system; the xk, yk, and zk are the coordinates of the particles; M = Σmk is the mass of the system; ρ is the density; and V is the volume.
In English “center of mass” and “center of gravity” are sometimes used synonymously. Strictly speaking, however, the concept of center of gravity is meaningful only for a body located in a uniform gravitational field. By contrast, the concept of center of mass is not associated with any force field and has meaning for any mechanical system. The center of mass and center of gravity of a body are located at the same point.
When a mechanical system moves, the motion of its center of mass is the same as that of a material particle that has a mass equal to the mass of the system and that is acted on by all the external forces applied to the system. Furthermore, if the motion of a mechanical system or a body is described with respect to axes that move translationally with the center of mass and for which the origin is at the center of mass, some of the equations of motion have the same form as for motion with respect to an inertial frame of reference. Because of these properties, the concept of center of mass plays an important role in the dynamics of systems and bodies.
S. M. TARG