Chebyshev polynomials of the first kind are a special system of polynomials of successively increasing degree. For n = 0, 1, 2, . . . they are defined by the formula

In particular, T0 = 1, T1 = x, T2 = 2x2 – 1, T3 = 4x3 – 3x and T4 = 8x4 – 8x2 + 1.
The polynomials Tn (x) are orthogonal with respect to the weight function (1 – x2)–½ on the interval [–1, +1] (seeORTHOGONAL POLYNOMIALS). They satisfy the differential equation
(1 – x2)y” – xy + n2y = 0
and the recursion formula
Tn+1 (x) = 2xTn(x) – Tn – 1(x)
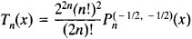
Chebyshev polynomials of the first kind are a special case of the Jacobi polynomials Pn(α,β)(x):
![]()
Chebyshev polynomials of the second kind Un (x) are a system of polynomials that are orthogonal with respect to the weight function (1 – x2)½ on the interval [–1, +1]. The relation between Chebyshev polynomials of the second kind and Chebyshev polynomials of the first kind is given by, for example, the recursion formula
(1 – x2)Un – 1 (x) = xTn (x) – Tn+l(x)