Encyclopedia

Statistics, Trade

The following article is from The Great Soviet Encyclopedia (1979). It might be outdated or ideologically biased.

Statistics, Trade

 

the branch of economic statistics that studies the quantitative patterns of mass phenomena in commodity circulation, patterns that characterize the movement of consumer goods from the production to the consumption sphere.

In prerevolutionary Russia trade statistics essentially did not exist. Statistical observations and publications were generally limited to data on stock-market dealings and foreign trade. There were no direct statistical data on domestic trade, its network, personnel, and wholesale and retail turnover. In the USSR commodity circulation of the means of production is included in statistics on material and technical supply and marketing. Statistics on state purchases show the movement of some agricultural products in the circulation sphere.

The primary sources of trade statistics are the reports of state and cooperative trade organizations and enterprises, as well as one-time surveys and censuses devoted primarily to describing the qualitative condition of the material base of trade and the efficiency of new forms of customer service.

The main part of trade statistics is statistics on commodity turnover. Statistics on wholesale commodity turnover studies the supplying of consumer goods to retail trade, monitors the fulfillment of plans for the use of commodity resources in terms of the most important consumer goods (balances of the distribution of commodity resources are worked out for this purpose), and checks on deliveries of goods of the market stock to trade organizations and on the shipment of goods from production regions to consumption regions. A summary report balance of the commodity supply for retail commodity turnover is also drawn up.

Statistics on retail commodity turnover in state and cooperative trade studies the final stage of commodity circulation—the sale of goods to the population. It keeps track of the fulfillment of the state plan for retail commodity turnover and studies the sale of various commodities in terms of volume and change over time. This branch of trade statistics is also an important source for studying growth in the working people’s consumption and well-being. Indexes of retail commodity turnover in actual prices

and constant prices

are regularly computed both overall and per capita for the USSR, the Union republics, and the oblasts. Moreover, trade statistics studies the turnover of kolkhoz trade based on regular observations of kolkhoz markets in more than 250 cities and worker settlements.

Closely related to statistics on commodity turnover is statistics on commodity stocks, which determines the volume and composition of such reserves in the commodity-flow network. The basic indexes here are the supply of commodity stocks for commodity turnover in days (ratio of the volume of stocks on a particular day to one day of commodity turnover), the rate of commodity turnover (ratio of the commodity turnover for a certain period to the average commodity stocks for the same period), and the length of one cycle in days (ratio of the average commodity stocks to one day’s commodity turnover). Such statistics are an important source for studying the degree to which popular demand for particular goods is satisfied and the correlation between the goods offered and demand.

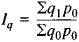
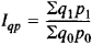
An important part of trade statistics is statistics on state retail prices, describing price changes over time using price indexes. This branch of trade statistics studies the average prices of commodities and their structure and change over time. Indexes of prices in kolkhoz trade are computed separately on the basis of prices for agricultural goods recorded on the 25th of each month. Price indexes are determined according to a formula for an aggregate index with weights for the current period

Statistics on circulation (handling) costs and on the profitability of trade organizations provide information on the total circulation costs in wholesale and retail trade, eating establishments, and storehouses for the long-term storage of vegetables, potatoes, and fruit. The composition of circulation costs is studied by type of expenditure using a uniform list of subheads. Circulation costs and commodity turnover are compared to determine the relative level of circulation costs (ratio of total circulation costs to commodity turnover), a basic indicator for studying change in circulation costs over time and comparing the cost levels for various trade organizations. Statistical analysis aims to identify the primary factors that cause changes in circulation costs over time and to discover reserves for reducing their relative level, the main prerequisite for raising profitability in trade (defined as the ratio of net profit to commodity turnover).

Statistics on the material base of trade studies the dynamics, composition, location, and equipment of the wholesale and retail trade network and the public dining network. One of its qualitative indexes is the availability of retail trade establishments to the population, computed as enterprise capacity (trading area, number of places) per 10,000 inhabitants. Trade statistics also studies labor in trade: the number and composition of employees, productivity, and wages.

The indexes and methods used in Soviet trade statistics have been widely adopted in other socialist countries. The Standing Commission on Statistics of COMECON (Council for Mutual Economic Assistance) has adopted coordinated primary indexes and has standardized the methodology for compiling statistics on retail commodity turnover, including commodity classification, grouping methods, and the methodology for calculating indexes.

In the capitalist countries, the chief sources of trade statistics are censuses of wholesale and retail trade, which describe the trade network, commodity turnover, commodity stocks, and trade personnel. Current statistics include indexes of wholesale and retail commodity turnover, commodity stocks, and prices computed mainly on the basis of sample surveys.

REFERENCE

Riauzov, N. N., and N. P. Titel’baum. Statistika torgovli, 5th ed. Moscow, 1968.

N. N. RIAUZOV

The Great Soviet Encyclopedia, 3rd Edition (1970-1979). © 2010 The Gale Group, Inc. All rights reserved.
Mentioned in
References in periodicals archive
Data is sourced from government statistics, trade associations, company annual reports, investor presentations, press articles & directories, technical publications, and online databases, which are cross-referenced with FMI's reports and internal repository of data to filter and validate the collected information.
Data is sourced from government statistics, trade associations, company annual reports and investor presentations, press articles and directories, technical publications, and online databases which are cross-referenced with FMI's reports and internal repository of data to filter and validate the collected information.
Coming to statistics, trade turnover between Azerbaijan and Germany has recovered by around 80% in the first ten months of 2018, amid higher oil prices and firming currencies, compared to the same period of 2017.
According to the latest statistics, trade between Bahrain and India has exceeded $1 billion.
According to the latest statistics, trade between both countries has exceeded $1 billion.
According to the 2017 statistics, trade between the two countries reached 11 billion dollars with trade balance being tilting towards the Chinese side.
He added concerned authorities relied on the statistics in measuring the consumer price index (inflation), national data, foreign trade statistics, trade balance and demographic indicators, pointing out to the need to strengthen the partnership between journalists and statisticians to provide reliable and correct information.
According to statistics, trade between these countries during the reported period amounted to $41.5 million, which is 1.8 times more than in January-March 2017.
He was quoted saying 'from the trade statistics, trade between the two countries is getting higher and higher and growing steadily every year, which is really a good sign for the current and further investments.'
According to Indonesia's Department of Statistics, trade between Bangladesh and Indonesia currently stood at $1.33 billion, of which $1.19 billion was in Indonesian exports.
Copyright © 2003-2025 Farlex, Inc Disclaimer
All content on this website, including dictionary, thesaurus, literature, geography, and other reference data is for informational purposes only. This information should not be considered complete, up to date, and is not intended to be used in place of a visit, consultation, or advice of a legal, medical, or any other professional.