Amortization of Fixed Capital

The following article is from The Great Soviet Encyclopedia (1979). It might be outdated or ideologically biased.

Amortization of Fixed Capital

 

an objective economic process of transferring the value of fixed capital to the product produced by the capital or to services as the fixed capital wears out. The necessity of amortization derives from the particular features of fixed capital participation in the production process; that is, it functions over a number of production cycles, maintaining its physical form. A portion of the value of fixed capital proportional to the wear on the capital is embodied within each unit of new product.

A distinction is made between mechanical, heat, fatigue, corrosion, and other types of material or physical wear on fixed capital. Wear is caused by the active work of the capital, by the physical processes related to production, and by extraordinary circumstances (natural calamities). The wear in value—the reduction in the initial value of fixed capital—occurs as the capital is materially worn out. However, wear can also occur independently of material wear, as a result of so-called obsolescence of fixed capital. The wear in value of fixed capital is accompanied by the formation of a compensation fund which is called the amortization fund. If the fixed capital is taken out of use because of extraordinary circumstances, then its wear is not accompanied by amortization. Nonproductive fixed capital (housing, clubs, schools, hospitals, and so forth) gradually wears out in the process of operation but does not transfer its value to the product, since here no product is produced. Amortization is not calculated for fixed capital which has been placed in storage by some decision of the appropriate state bodies, since this capital does not participate in the production process and, consequently, its value cannot be transferred to a product or services. At the same time, amortization for full replacement is calculated for fixed capital which is in stock (reserve), since the latter is essential for the production process.

Amortization is not figured for installations which have a value under the established limit (50 rubles per unit) or a service life of less than one year. These are included in working capital calculations. This policy facilitates the procedure for their acquisition and accounting. The fixed capital of organizations financed by the state budget is also not included in the amortization.

The amortization fund is created by monthly amortization deductions made at the established rates. For a majority of the fixed capital, the annual amortization rates are determined as a percent of value. For the fixed capital of the ore mining industry sectors (coal, slate, ore mining, the mining of rare and precious metals and of inert minerals), the life of which depends upon the exploitation time of the mineral reserves and which after the deposits are worked out cannot be used for other purposes without major reequipping, the amortization rates for full replacement are established in terms of rubles per ton of extracted reserves. The amortization rates for the major overhaul of motor transport (with the exception of such special vehicles as fire trucks, ambulances, and the like) are figured in percent of the value of the vehicles per 1,000 kilometers of run.

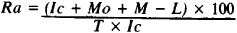
The overall amortization rate (for the full replacement and major overhaul) in percent of the fixed capital value is determined according to the formula:

where Ra equals annual amortization deduction rate (in percent), Ic initial value of given installation, Mo value of its major overhauls during entire service life, M value of its modernization over all its service life (determined only for equipment and means of transportation), L liquidation value, and T service life of given installation.

Since the initial value ceases in time to conform to the reproduction conditions, reevaluations of fixed capital are made for the replacement value. The first general reevaluation for old capital in Soviet industry was conducted in 1925 and the second in 1959. Because of the change in wholesale prices on July 1, 1967, and the appearance of new, more efficient types of fixed capital, the discrepancy has again intensified between the initial assessment of the fixed capital and the existing conditions for its reproduction. The Soviet government has approved a decision to hold a new reevaluation of fixed capital of the self-supporting state, cooperative, and social enterprises and organizations on Jan. 1, 1971, and for the sovkhozes, kolkhozes, and other enterprises and organizations on Jan. 1, 1972.

Expenditures on major overhauls include the replacement or rebuilding of worn-out basic parts, assemblies, and structural elements as a result of their more rapid wear in comparison with the object as a whole. The period of time between overhauls and the value of each overhaul during the economically effective period of the object’s use are taken into account in determining the total expenditures on major overhauls for the entire service life of the object.

Modernization of equipment and means of transportation, in contradistinction to major overhauls, consists of a technical upgrading which results in an increase in their productivity. Here, amortization is used to cover expenditures related to the accelerated replacement of individual parts and assemblies as a consequence of their technical and economic aging, to installing attachments, monitors, and controls on the machines and units, and so forth. Expenditures made during the reconstruction of enterprises, shops, or individual objects and related to the reorganization of the system of machines, expenditures on the installation of assembly lines and conveyers, and expenditures related to the introduction of new technological processes are financed not from the amortization fund, but from the centralized capital investment account.

The liquidation value is calculated as the difference between the receipts from selling the worn-out property and the expenditures on its disassembly.

The service life of fixed capital is determined for an economically effective period of its operation, and this is called the amortization period. The rate of technical progress, the scale of introducing new fixed capital, the possibility of overcoming obsolescence by modernization, and so forth, are taken into account in calculating this period.

Amortization rates may be differentiated by type of fixed capital for the enterprises or by average per enterprise and sector. The differentiated rates are necessary for calculating amortization for the separate types of fixed capital, for determining the effectiveness of the specific objects of new techniques, and for calculating the cost of individual goods. Average amortization rates can be calculated on the basis of the differentiated amortization rates and on the basis of the value structure of fixed capital in average weighted amounts. They can be used in planning amortization deductions as a whole for an enterprise or a ministry or for other purposes. Prior to 1938, Soviet industry used differentiated amortization rates which had been established in 1930. Average amortization rates for the people’s commissariats were introduced by the decree of the USSR Council of People’s Commissars of Jan. 8, 1938. The economic significance of these rates was that they isolated a definite share of the amortization fund for major overhauls. Subsequently, the average amortization rates were adjusted in 1949, 1951, and 1955. The adjustments came down basically to changing the amortization rates for major overhauls while maintaining the average amortization rate for the ministry (department). The latter distributed the rates established for it to its main administrations, while the main administrations gave them to the enterprises considering the makeup of their fixed capital and the 1930 differentiated amortization rates. Taken into account were the planned expenditures for major overhauls, the incorporation of funds allocated for previous years, and other factors.

In 1961, the USSR Council of Ministers approved a decree on new amortization rates, which went into effect on Jan. 1, 1963. These rates are uniform for all the sectors of the national economy and are obligatory for use by all state self-supporting enterprises and organizations, regardless of their departmental jurisdiction. The particular operating conditions of fixed capital in individual sectors and enterprises (for example, the effect of a corrosive environment and so forth) are considered by using special coefficients. For the purposes of precisely calculating the amortization amounts, the rates have been differentiated for a broad range of fixed capital. The most important feature of the current rates is that they more fully take into account equipment obsolescence. This feature is reflected in the reduction of the service life of the corresponding fixed capital and the increase of the expenditures on the modernization of individual machines and units included in the amortization rates for major overhauls. The amortization rates for major overhauls also include expenditures on medium repairs which are carried out less than once a year and which, in terms of their economic nature, do not differ from major overhauls. Prior to 1963, expenditures on such repairs were financed as expenditures on routine repairs. All of this caused an increase in the new amortization rates.

In line with the forthcoming reevaluation of fixed capital and the change in all the factors which affect the amortization level, the Soviet government has approved a decision to adjust the existing amortization deduction rates.

For determining the annual amount of the amortization fund to be included in the enterprise income and expenditure balance sheet, aside from the amortization rates, it is essential to know the annual average value of the amortized fixed capital. This is determined according to the formula:

where Cav equals annual average value of fixed capital, C8 value of fixed capital at start of planned year, B value of fixed capital to be put into operation during planned year, K number of months of its operation, B1v value of fixed capital to be withdrawn during planned year, and K1 number of months of its operation.

Amortization deductions are considered in product costs. They are divided into two parts: deductions earmarked for the full replacement of fixed capital (renovation) and deductions earmarked for their partial replacement (major overhauls and modernization). Prior to the economic reform (1965—66), the deductions for renovation were used to finance the centralized capital investments of an enterprise or ministry. Deductions for major overhauls were kept for the enterprises; however, these were liable to confiscation without return from those enterprises where these assets during the planned year exceeded the requirements for major overhauls. These assets in turn were transferred to the enterprises where the volume of major overhauls exceeded the available resources. The new system of planning and economic incentive provides that a significant portion of amortization for renovation is allocated to the enterprises as a source of financing the noncentralized capital investments. Redistribution of deductions for major overhauls is limited. The maximum is 10 percent, if the deductions exceed current requirements for major overhauls at the enterprises where confiscation is planned. The amortization fund for major overhauls may be expended on the acquisition of new capital when this is more advantageous than repairing the old.

Under socialism, amortization provides for the restitution of the value of withdrawn fixed capital. It reflects the wear on fixed capital and is used for the purposes of correctly figuring aggregate social product and the financial resources channeled into capital investments, major overhauls, and modernization. Amortization is also of importance for calculating product costs, prices, and effectiveness of capital investments, for encouraging the rational use of fixed capital, and for strengthening economic accountability.

Under the conditions of capitalist production, the amortization fund is earmarked for the replacement of fixed capital. In order to understate the actual amounts of profit, capitalists often intentionally deduct into the amortization fund amounts which significantly surpass actual wear, thereby understating actual taxable income. This is also aided by the extremely high amortization rates and advantageous calculation methods permitted in the capitalist nations. These privileges have developed particularly widely under the conditions of state monopolistic capitalism. Here the right of accelerated amortization has been granted to the powerful capitalist monopolies involved primarily in the development of military production. Thus, amortization under capitalism becomes an additional means for enriching the capitalists and for redistributing national income in their favor.

REFERENCES

Marx, K. Capital, vol. 1.
Marx, K. and F. Engels. Soch., 2nd ed., vol. 23, chs. 6 and 13.
Marx, K. Capital, vol. 2. Marx, K. Capital, vol. 24, ch. 8.
“Ob ispol’zovanii amortizatsionnykh otchislenii i ob uluchshenii remonta v promyshlennykh predpriiatiiakh. Postanovlenie Soveta Narodnykh Komissarov Soiuza SSSR ot 8 ianvaria 1938 g.,” Sobranie postanovlenii i rasporiazhenii raboche-krest’ianskogo pravitel’stva SSSR, 1938, no. 1, art. 1.
Metodicheskie ukazaniia po ischisleniiu novykh norm amortizatsii. Moscow, 1960.
Normy amortizatsionnykh otchislenii po osnovnym fondam narodnogo khoziaistva SSSR. Moscow, 1961.
Polozhenie o poriadke planirovaniia, nachisleniia i ispol’zovaniia amortizatsionnykh otchislenii v narodnom khoziaistve. Moscow, 1962.
Bunich, P. G. Osnovnye fondy sotsialisticheskoi promyshlennosti. Moscow, 1960.
Pavlov, P. Snashivanie i amortizatsiia osnovnykh fondov. Moscow, 1957.
Kvasha, Ia. Amortizatsiia i sroki sluzhby osnovnykh fondov. Moscow, 1959.
Kolosov, A. Osnovnye fondy i ikh rol’ v sotsialisticheskom vosproizvodstve. Moscow, 1963.
Kuklina, I. N. Amortizatsiia osnovnogo kapitala promyshlennosti v SShA. Moscow, 1967.
Ivanov, E. A. Vosproizvodstvo i ispol’zovanie osnovnykh fondov. Moscow, 1968.

P. G. BUNICH

The Great Soviet Encyclopedia, 3rd Edition (1970-1979). © 2010 The Gale Group, Inc. All rights reserved.
Mentioned in
Copyright © 2003-2025 Farlex, Inc Disclaimer
All content on this website, including dictionary, thesaurus, literature, geography, and other reference data is for informational purposes only. This information should not be considered complete, up to date, and is not intended to be used in place of a visit, consultation, or advice of a legal, medical, or any other professional.